
当书法遇上法律,会擦出怎样的火花?
2020年7月11日,由法制日报社主办、法报文化传媒(北京)有限公司和北京千音文化传媒有限公司联合承办的“书·法”系列活动正式启动。
“书·法”活动旨在为创新法治宣传教育,多开一点脑洞、多花一点心思、多出一点力量、多做一点贡献,引领和推动更多的人拿起笔来学法、写法,在不断“书·法”过程中,提升自身的法治素养,在全社会弘扬法治精神。
《中华人民共和国香港特别行政区基本法》为香港特别行政区各项事业发展提供了全方面的法治保障,能够更好地维护香港的法治秩序,促进社会的稳定和繁荣。为学习好、宣传好、贯彻好、实施好这部法律,继《中华人民共和国民法典》《中华人民共和国宪法》《信访工作条例》《中华人民共和国澳门特别行政区基本法》等法律法规之后,法制日报社联合人和启邦显辉(横琴)联营律师事务所,将笔端对准《中华人民共和国香港特别行政区基本法》。
精彩内容,敬请关注。

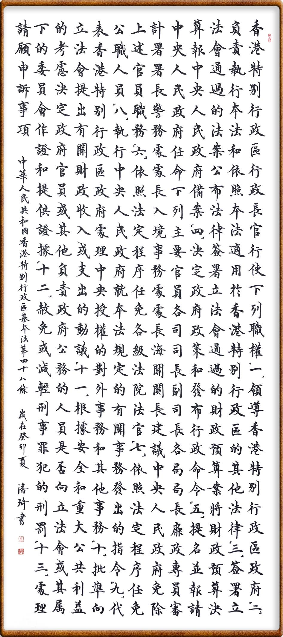
香港基本法第四十八条 香港特别行政区行政长官行使下列职权:
(一)领导香港特别行政区政府;
(二)负责执行本法和依照本法适用于香港特别行政区的其他法律;
(三)签署立法会通过的法案,公布法律;
签署立法会通过的财政预算案,将财政预算、决算报中央人民政府备案;
(四)决定政府政策和发布行政命令;
(五)提名并报请中央人民政府任命下列主要官员:各司司长、副司长,各局局长,廉政专员,审计署署长,警务处处长,入境事务处处长,海关关长;建议中央人民政府免除上述官员职务;
(六)依照法定程序任免各级法院法官;
(七)依照法定程序任免公职人员;
(八)执行中央人民政府就本法规定的有关事务发出的指令;
(九)代表香港特别行政区政府处理中央授权的对外事务和其他事务;
(十)批准向立法会提出有关财政收入或支出的动议;
(十一)根据安全和重大公共利益的考虑,决定政府官员或其他负责政府公务的人员是否向立法会或其属下的委员会作证和提供证据;
(十二)赦免或减轻刑事罪犯的刑罚;
(十三)处理请愿、申诉事项。

潘琦,中国书画院高级院士,陕西省书法家协会会员,渭南市书法家协会会员。
编辑:武卓立